Упр.156 ГДЗ Колягин Ткачёва 11 класс (Алгебра)
Решение #1
Решение #2

Рассмотрим вариант решения задания из учебника Колягин, Ткачёва, Фёдорова 11 класс, Просвещение:
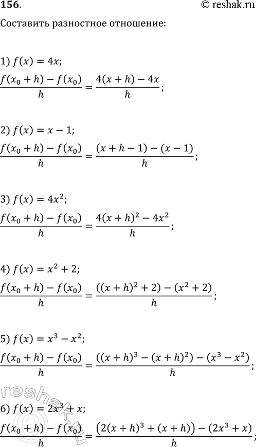
156. Составить разностное отношение, если:
1) f(x) = 4х;
2) f(x) = x - 1;
3) f(x) = 4x2;
4) f(x) = х2 + 2;
5) f(x) = x3 - х2;
6) f(x) = 2х3 + x.
*размещая тексты в комментариях ниже, вы автоматически соглашаетесь с пользовательским соглашением