Упр.404 ГДЗ Колягин Ткачёва 7 класс (Алгебра)
Решение #1

Рассмотрим вариант решения задания из учебника Колягин, Ткачёва, Фёдорова 7 класс, Просвещение:
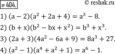
404. Используя формулы суммы или разности кубов, упростить:
1) (a-2)(a^2+2a+4);
2) (b+x)(b^2-bx+x^2 );
3) (2a+3)(4a^2-6a+9);
4) (a^2-1)(a^4+a^2+1).
*размещая тексты в комментариях ниже, вы автоматически соглашаетесь с пользовательским соглашением