Упр.599 ГДЗ Никольский Потапов 9 класс (Алгебра)

Решение #1

Изображение 599.	Вычислите:	а) sin а,tg а,ctg а,если...
Дополнительное изображение
Дополнительное изображение

Решение #2

Изображение 599.	Вычислите:	а) sin а,tg а,ctg а,если...
Дополнительное изображение
Дополнительное изображение
Дополнительное изображение

Рассмотрим вариант решения задания из учебника Никольский, Потапов 9 класс, Просвещение:
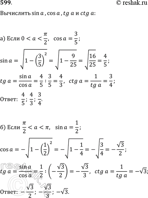
599. Вычислите:
а) sin а,tg а,ctg а,если 0<а<пи/2 и cosа=3/5
б) cosа,tgа,ctgа,если пи/2<а<пи и sinа=1/2
в) sinа,tgа,ctgа,если пи<а<3пи/2 и cosа=-0,6
г) cosа,tgа,ctgа,если 3пи/2<а<2пи и sinа=-0,8
д) sinа,cosа,ctgа,если 0<а<пи/2 и tgа=2,4
е) cosа,sinа,tgа,если пи/2<а<пи и ctgа=-1
ж) sinа,еслиtgа=-5/12 и -пи/2<а<0
з) cosа,еслиctgа=1 и пи<а<3пи/2
*Цитирирование задания со ссылкой на учебник производится исключительно в учебных целях для лучшего понимания разбора решения задания.
*размещая тексты в комментариях ниже, вы автоматически соглашаетесь с пользовательским соглашением