Упр.369 ГДЗ Макарычев Миндюк 8 класс (Алгебра)
Решение #1
Решение #2

Рассмотрим вариант решения задания из учебника Макарычев, Миндюк, Нешков 8 класс, Просвещение:
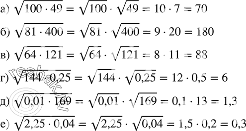
369. Найдите значение выражения:
а) корень (100*49);
б) корень (8*100);
в) корень (64*121);
г) корень (144*0,25);
д) корень (0,01*169);
е) корень (2,25*0,04).
*размещая тексты в комментариях ниже, вы автоматически соглашаетесь с пользовательским соглашением